Bitter Orange Extract Hesperidin Powder
CAS No:520-26-3
Plant Source: Orange Peel
Appearance: Light Brown Powder
Test Method:HPLC
MOQ: 1KG;
Certifications: GMP,ISO9001:2015,ISO22000:2018,HACCP,KOSHER and HALAL
Sample: Free sample available
Production Capacity: 50KG/month
Delivery Time: Delivery within one day from the warehouse
Shelf Life: Two years
Payment: T/T
Advantage: Antioxidant, anti-inflammatory, anti-aging, cholesterol lowering.
- Fast Delievery
- Quality Assurance
- 24/7 Customer Service
Product Introduction
What is Bitter Orange Extract Hesperidin?
Hesperidin is a natural flavonoid glycoside, mainly extracted from the peel and young fruit of citrus plants (such as bitter orange, sweet orange, and lemon) belonging to the Rutaceae family. It has the effects of enhancing capillary toughness, anti-oxidation, and anti-inflammation, and is often used to improve blood circulation, relieve varicose veins and blood stasis. It is also one of the main components of "vitamin P" and is widely used in food, medicine, and health products.

Healthkintai® is a manufacturer and supplier of hesperidin, an extract from bitter orange. We offer 98% hesperidin powder and 98% neohesperidin powder. (Other specifications can be customized). Please feel free to contact us at info@kintaibio.com.
KINTAI Bitter Orange Extract Specifications
|
Product Name |
Specifications |
|
Bitter Orange Extract |
98% Hesperidin |
|
98%Neohesperidin |
Other specifications can be customized.Contact us>>>
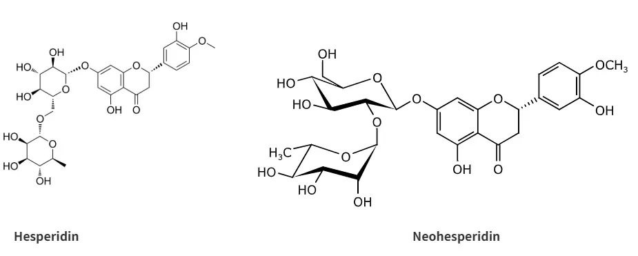
Hesperidin vs Neohesperidin
Hesperidin is a natural flavonoid glycoside widely found in the peels of citrus fruits such as sweet oranges and lemons, with a slightly bitter taste. Its main benefits lie in enhancing capillary resilience, anti-oxidation, and anti-inflammation; it is considered a core component of "vitamin P" and is commonly used in products that improve venous circulation and vascular health.

Neohesperidin, primarily derived from bitter orange and trifoliate orange peel, has a strong bitter taste. Its key value lies not in direct use, but as an important precursor, which, through catalytic hydrogenation, can be converted into a high-intensity sweetener—neohesperidin dihydrochalcone.
The main difference between the two lies in the way their glycosyl groups are linked in their chemical structures, directly resulting in diametrically opposed taste characteristics: hesperidin has a slightly bitter taste, while neohesperidin is extremely bitter. Furthermore, their core natural sources also differ.In applications, hesperidin is used directly as a bioactive ingredient in the pharmaceutical and healthcare fields; while neohesperidin is mainly used as an industrial intermediate in the production of high-intensity sweeteners and flavor modifiers, serving the food processing industry.
Bitter Orange Extract Hesperidin Benefits
1. Promotes Cardiovascular Health
Hesperidin, a key component of bitter orange extract, is highly effective in promoting cardiovascular health and improving microcirculation. It effectively reduces vascular fragility by enhancing the toughness and elasticity of capillary walls, thereby helping to improve blood circulation and alleviate problems such as leg heaviness and edema caused by venous insufficiency. Clinically, it is often used to treat chronic venous insufficiency and for related vascular protection.

2. Antioxidant and Anti-inflammatory
Hesperidin exhibits powerful antioxidant and anti-inflammatory effects. As a potent flavonoid antioxidant, it effectively neutralizes free radicals in the body, reduces oxidative stress-induced cell damage, and inhibits the release of pro-inflammatory factors. This dual mechanism not only helps delay cellular aging but also has positive implications for preventing chronic diseases caused by inflammation and oxidative damage.

3.Bitter Orange Extract for Weight Loss
In the fields of metabolic support and weight management, hesperidin has a synergistic effect with other active ingredients in bitter orange (such as synephrine). Studies have shown that it can support overall weight management strategies by improving insulin sensitivity and regulating lipid metabolism, but its role is usually as part of a comprehensive approach rather than as a direct weight-loss stimulant.

4. Hesperidin in skincare
In addition, hesperidin and Neohesperidin has shown potential for protecting skin health. Due to its antioxidant and anti-inflammatory properties, it helps protect the skin from environmental damage such as UV rays and may improve skin elasticity by promoting collagen synthesis and stabilization. Therefore, it also has a place in some oral beauty and topical skincare products.

Interested? Contact us to get a quote>>>
Uses of Bitter Orange Extract Hesperidin
1. Hesperidin in Pharmaceuticals
Hesperidin, a natural flavonoid glycoside, plays a central role in the pharmaceutical and health product fields, primarily used for cardiovascular health and improving venous function. It is a key component of Vitamin P, widely used to treat chronic venous insufficiency, hemorrhoids, capillary fragility and bleeding, and postoperative edema by enhancing capillary resilience and reducing vascular permeability. It also serves as an adjunct component in cardiovascular protection.Diosmin and hesperidin are two closely related flavonoids that are often used in combination, especially in the treatment of vascular diseases. They are usually used in the form of standardized compounds (such as "micronized purified flavonoids containing 90% diosmin and 10% hesperidin").

2. Bitter Orange Extract Supplements
In the food and beverage industry, hesperidin gains significant applications due to its bioactivity and stability. On one hand, it is added to functional beverages and dietary supplements as a nutritional fortifier, claiming antioxidant and circulation-promoting effects. On the other hand, its natural antioxidant properties help extend the shelf life of some foods, although its slightly bitter flavor limits its direct use in flavoring.

3. Hesperidin in Skincare and Cosmetics
The cosmetics and personal care fields utilize hesperidin's excellent antioxidant and photoprotective capabilities. Because it effectively scavenge free radicals and reduce skin damage caused by ultraviolet radiation, and is believed to have the potential to promote collagen production and improve skin microcirculation, it is widely used in high-end skincare products such as serums, creams, and eye creams for anti-aging, whitening, sun protection, and improving microcirculation around the eyes (e.g., alleviating dark circles).

4. Hesperidin Feed Additive
In the agricultural and feed sectors, the application value of hesperidin is mainly based on its natural and safe bioactivity. It is being researched or used as a natural plant growth regulator and animal feed additive, aiming to utilize its antibacterial, anti-inflammatory, and antioxidant properties to enhance the health and resistance of plants and animals, reduce the use of chemical drugs, and align with the development trend of green agriculture.
Bitter Orange Extract Hesperidin Dosage
|
Purpose / Form |
Typical Dosage Range |
Key Considerations & Notes |
|
General Health & Antioxidant Support |
500 mg - 1000 mg per day |
Often divided into two doses. Commonly found in citrus bioflavonoid complexes. |
|
Venous Insufficiency & Circulatory Health |
1000 mg - 2000 mg per day |
Clinical studies for conditions like chronic venous insufficiency (CVI), hemorrhoids, or varicose veins often use doses in this range, sometimes combined with Diosmin. |
|
Dietary Supplement (Standalone) |
As per product label, commonly 250 mg - 500 mg per capsule, taken 1-2 times daily. |
Always follow the manufacturer's instructions on the specific product label. Dosage depends on the purity and standardization of the extract. |
|
Topical Application (Skincare) |
Concentration typically between 0.5% - 3% in formulations. |
Used in creams and serums for its antioxidant and anti-inflammatory properties. Not for oral consumption. |
Bitter Orange Extract Hesperidin Side Effects
Although hesperidin, a component of bitter orange extract, is generally considered a relatively safe natural ingredient, its use still carries some potential side effects and risks that require attention. The primary concern is that high doses may cause gastrointestinal discomfort, such as nausea, abdominal pain, or diarrhea. More importantly, because hesperidin may interact with other active ingredients (such as synephrine in the extract) to affect the cardiovascular system, some sensitive individuals may experience symptoms such as palpitations and elevated blood pressure.

Furthermore, due to its biological activity, it may interact with anticoagulants (such as warfarin), antihypertensive drugs, and other drugs metabolized by specific enzymes in the liver, affecting efficacy or increasing risks. Therefore, pregnant women, breastfeeding women, patients with cardiovascular disease, and those currently taking medications must consult a healthcare professional before using any related supplements.
Why Choose KINTAI Bitter Orange Extract Hesperidin?
1. Premium Raw Materials
Choosing our hesperidin powder stems from our unwavering pursuit of superior quality. Firstly, we insist on rigorously selecting raw materials globally, sourcing only fresh peels directly from the core bitter orange producing regions, ensuring the purity and high activity of the ingredients from the source.
2. Multiple Certifications
Our production system has obtained multiple authoritative international certifications, including HACCP, cGMP, ISO22000, and US FDA factory registration, ensuring that every step from production to finished product meets the highest global food safety and quality control standards.
3. Customized Services
We deeply understand the diverse needs of our clients and offer highly flexible customized services. Whether it's purity (from 50% to 98% and above), mesh size, or packaging specifications, we can personalize them according to your specific application scenarios, becoming your most reliable partner in product development and supply chain.
FAQ
Q1:Is hesperidin a blood thinner?
A1:Hesperidin is not a potent, direct blood thinner like prescription anticoagulants (e.g., Warfarin). However, it exhibits mild antiplatelet and potential vasoprotective effects, meaning it may slightly reduce the tendency of blood platelets to clump together and strengthen blood vessels. This can contribute to improved circulation. Importantly, due to this activity, it may interact with blood-thinning medications (like aspirin or warfarin), potentially increasing the risk of bleeding. Therefore, individuals on such medications should consult a doctor before taking hesperidin supplements.
Q2:Is hesperidin safe for kidneys?
A2:Some research even suggests potential renal protective benefits due to its strong anti-inflammatory and antioxidant properties, which may help reduce kidney damage caused by oxidative stress or certain toxins.However, for individuals with pre-existing kidney disease or severe renal impairment, caution is advised. Since the metabolites are excreted via the kidneys, high-dose supplementation could theoretically place additional strain on compromised renal function. Consulting a healthcare professional before use is strongly recommended in such cases.
Our Certifications

Send Inquiry


_1765336431257.jpg)